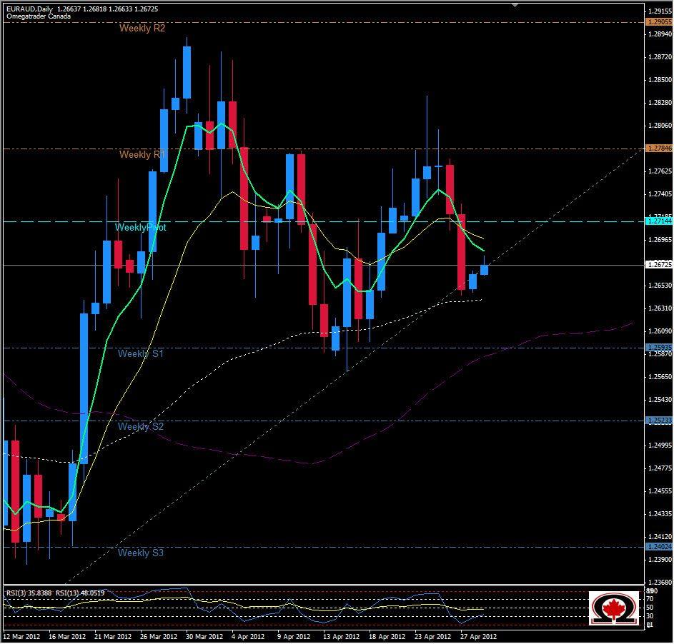
El gráfico EUR / AUD diario muestra la posibilidad de una extensión a la baja o la continuación después de haber regresado al nivel de retroceso del 38.2% en su caída desde 1.4086 la primera semana de octubre de 2011, al mínimo en 6 meses de 1,2132 a principios de febrero de este año. El par se encuentra flotando en una tendencia de línea ascendente arrastrado por 6 meses de bajas hasta ahora, por lo que un cierre por debajo de 1.2650 podría indicar precios aún más bajos por venir.
Con la incertidumbre del euro en los últimos tiempos el dólar australiano se mantiene, apoyado por una economía un poco más fuerte que otras partes del mundo y una asociación en exportaciones con el mayor consumidor del mundo, China. Si lo suyo son los indicadores, vemos una cruz de más rápido movimiento en el marco del 5 EMA debajo del lento 13 EMA y una cierta separación de ellos, pero todavía no hemos cerrado por debajo de la media móvil el día 62 hasta el momento. Por encima de la resistencia es fuerte, con el Pivot semanal en 1,2714, así como el R1 diario ligeramente inferior al 1,2706. El precio se negocia actualmente con el Pivot diario también, situándose en 1,2675 y existe un vacío técnico en la baja de la semana pasada de 1,2644 hasta el Daily S1 a 1,2618, y luego la combinación del Weekly S1/Daily S2 ambos situados aproximadamente a 1,2590. Aunque un poco hacia los lados durante el último mes, hay bajos más bajos y máximos más bajos para agregar a la posibilidad de ir más al sur.
